Document Page: First | Prev | Next | All | OCR | This Release | Search

File: 062096_apr_decls7_0001.gif
Page: 0001
Total Pages: 3


Document Page: First | Prev | Next | All | OCR | This Release | Search


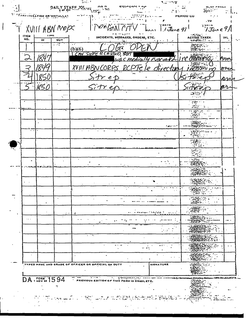
Document 3 f:/Week-17/BX000016/DUTY LOG REAR CP G3 1 JUN 91/daily staff journal log:06079615285212
Control Fields 17
File Room = apr96_declassified
File Cabinet = Week-17
Box ID = BX000016
Unit = XVIII CORPS
Parent Organization = ARCENT
Folder Title = DUTY LOG REAR CP G3 1 JUN 91
Folder Seq # = 90
Subject = DAILY STAFF JOURNAL LOG
Document Seq # = 2
Document Date = 01-JAN-1980
Scan Date = 03-MAY-1996
Queued for Declassification = 01-JAN-1980
Short Term Referral = 01-JAN-1980
Long Term Referral = 01-JAN-1980
Permanent Referral = 01-JAN-1980
Non-Health Related Document = 01-JAN-1980
Declassified = 07-JUN-1996