Memorandum from US Environmental Protection Agency, Office of Prevention, Pesticide and Toxic Substances, Subj: �Chlorpyrifos: HED Preliminary Risk Assessment for Registration Eligibility Decision (RED) Document, �Chemical #059101, Barcode D260163, Case

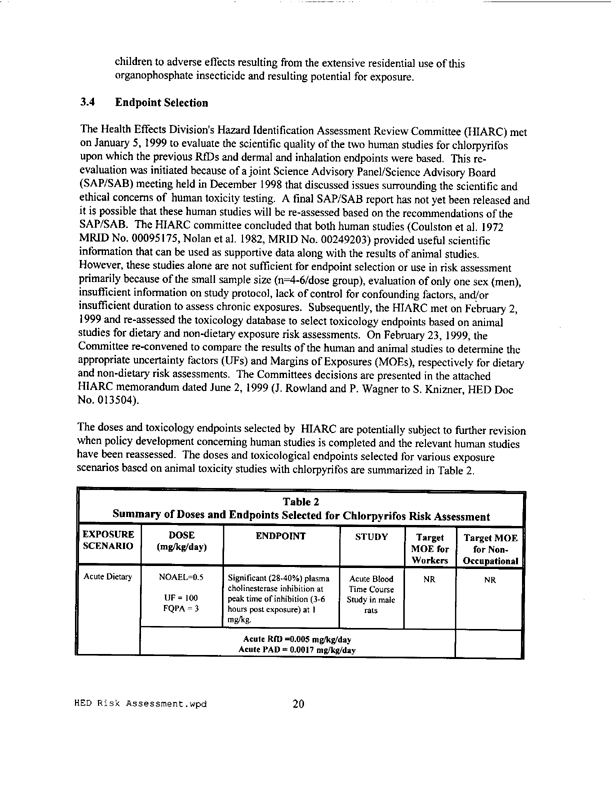
| First Page | Prev Page | Next Page | Back to Text |