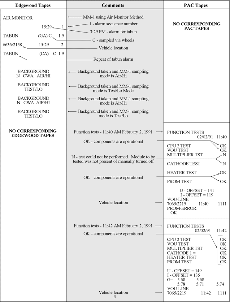
TAB E - Tape Comparison[147]

| First Page | Prev Page | Next Page |