The Department of Defense requires a common framework for our investigations and assessments of chemical warfare agent reports, so we turned to the United Nations and the international community, which had chemical weapons experience (e.g., the United Nations investigation of the chemical weapons used during the 1980-88 Iran-Iraq war). Because the modern battlefield is complex, the international community developed investigation and validation protocols[117] to provide objective procedures for possible chemical weapons incidents. The methodology we are using is based on these international protocols and guidelines. The methodology includes:
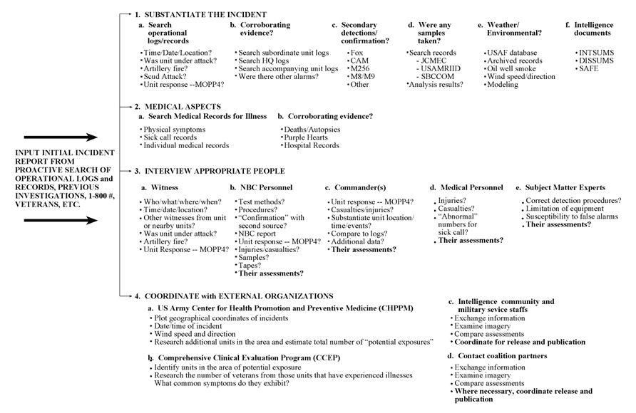
While the methodology used to investigate chemical incidents (Figure 8) is based on these protocols, the passage of time since the Gulf War makes it difficult to obtain certain types of documentary evidence, and physical evidence often was not collected at the time of an event. Therefore, we cannot apply a rigid template to all incidents, and each investigation must be tailored to its unique circumstances. Accordingly, we designed our methodology to provide a thorough, investigative process to define the circumstances of each incident and determine what happened. The major efforts in our methodology are:

A case usually starts with a report of a possible chemical warfare agent incident, often from a veteran. To substantiate the circumstances surrounding an incident, the investigator searches for documentation from operational, intelligence, and environmental logs. This focuses the investigation on a specific time, date, and location, clarifies the conditions under which the incident occurred, and determines whether there is "hard," as well as anecdotal, evidence.
Alarms alone are not considered to be certain evidence of chemical warfare agent presence, nor is a single observation sufficient to validate a chemical warfare agent presence. The investigator looks for physical evidence collected at the time of the incident that might indicate that chemical agents were present in the vicinity of the incident. Such evidence might include tissue samples, body fluid samples, clothing, environmental samples of soil or vegetation, weapons parts, and Fox MM-1 tapes with properly documented spectrums.
The investigator searches available medical records to determine if anyone was injured by the incident. Deaths, injuries, sicknesses, etc., near the time and location of an incident are noted and considered. Medical experts are asked to provide information about any alleged chemical warfare agent casualties.
Interviews of those involved in or near the incident (participants or witnesses) are conducted. First-hand witnesses provide valuable insight into the conditions surrounding the incident and the mind-set of those involved, and are particularly important if physical evidence is lacking. Nuclear, biological, and chemical officers or specialists trained in chemical testing, confirmation, and reporting are interviewed to identify the units response, the tests that were run, the injuries sustained, and the reports submitted. Commanders are contacted to ascertain what they knew, what decisions they made concerning the events surrounding the incident, and their assessment of the incident. Where appropriate, subject matter experts also provide opinions on the capabilities, limitations, and operation of technical equipment, and submit their evaluations of selected topics of interest.
Additionally, the investigator contacts agencies and organizations that may be able to provide additional clarifying information about the case. These would include, but not be limited to:
Once the investigation is complete, the investigator evaluates the available evidence in order to make a subjective assessment. The available evidence is often incomplete or contradictory and thus must be looked at in the total context of what is known about the incident being investigated. Physical evidence collected at the time of the incident, for example, can be of tremendous value to an investigation. Properly documented physical evidence would generally be given the greatest weight in any assessment. The testimony of witnesses and contemporaneous operational documentation is also significant when making an assessment. Testimony from witnesses who also happen to be subject matter experts is usually more meaningful than testimony from untrained observers. Typically, secondhand accounts are given less weight than witness testimony. When investigators are presented with conflicting witness testimony, they look for other pieces of information supporting the statements of the witnesses. Investigators evaluate the supporting information to determine how it corroborates any of the conflicting positions. Generally, such supporting information will fit into a pattern corroborating one of the conflicting accounts of the incident over the others. Where the bulk of corroborating evidence supports one witness more than another, that person's information would be considered more compelling.
Our assessments rely on the investigators evaluation of the available information for each investigation. Because we do not expect to always have conclusive evidence, we have developed an assessment scale (Figure 9) ranging from Definitely Not to Definitely, with intermediate assessments of Unlikely, Indeterminate, and Likely. The investigator will use this scale to make an assessment based on facts available as of the date of the report publication. Each case is reassessed over time based on new information and feedback.

Figure 9. Assessment of chemical warfare agent presence
The standard for making the assessment is based on common sense: Do the available facts lead a reasonable person to conclude that chemical warfare agents were or were not present? When insufficient information is available, the assessment is Indeterminate until more evidence can be found.
| First Page | Prev Page
| Next Page |