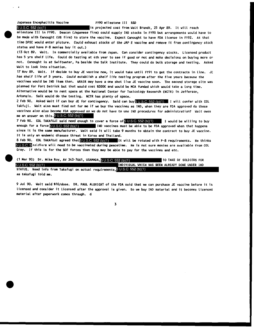
Document Page: First | Prev | Next | All | OCR | This Release | Search

File: 121096_sep96_decls38_0003.gif
Page: 0003
Total Pages: 5


Document Page: First | Prev | Next | All | OCR | This Release | Search


Document 5 f:/Week-36/BX003203/CURRENT CONTINGENCY VACCINES/chem bio medical defense 2 feb 90:12069615360339
Control Fields 17
File Room = sep96_declassified
File Cabinet = Week-36
Box ID = BX003203
Unit = OTSG
Parent Organization = HSC
Folder Title = CURRENT CONTINGENCY VACCINES
Folder Seq # = 137
Subject = CHEM BIO MEDICAL DEFENSE 2 FEB 90
Document Seq # = 1
Document Date =
Scan Date =
Queued for Declassification = 01-JAN-1980
Short Term Referral = 01-JAN-1980
Long Term Referral = 01-JAN-1980
Permanent Referral = 01-JAN-1980
Non-Health Related Document = 01-JAN-1980
Declassified = 06-DEC-1996