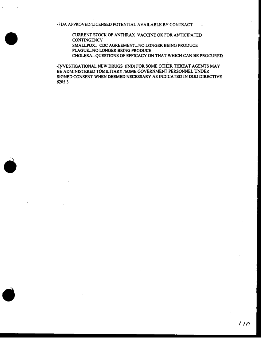
Document Page: First | Prev | Next | All | OCR | This Release | Search

File: 120396_sep96_decls73_0006.gif
Page: 0006
Total Pages: 10


Document Page: First | Prev | Next | All | OCR | This Release | Search


Document 10 f:/Week-36/BX003203/BIOLOGICAL DEFENSE VACCINE PRODUCTION FACILITY/biological defense vaccine production facility:11259610130813
Control Fields 17
File Room = sep96_declassified
File Cabinet = Week-36
Box ID = BX003203
Unit = OTSG
Parent Organization = HSC
Folder Title = BIOLOGICAL DEFENSE VACCINE PRODUCTION FACILITY
Folder Seq # = 66
Subject = BIOLOGICAL DEFENSE VACCINE PRODUCTION FACILITY
Document Seq # = 1
Document Date =
Scan Date =
Queued for Declassification = 01-JAN-1980
Short Term Referral = 01-JAN-1980
Long Term Referral = 01-JAN-1980
Permanent Referral = 01-JAN-1980
Non-Health Related Document = 01-JAN-1980
Declassified = 25-NOV-1996