Document Page: First | Prev | Next | All | OCR | This Release | Search

File: 970313_sep96_decls27_0002.gif
Page: 0002
Total Pages: 7


Document Page: First | Prev | Next | All | OCR | This Release | Search


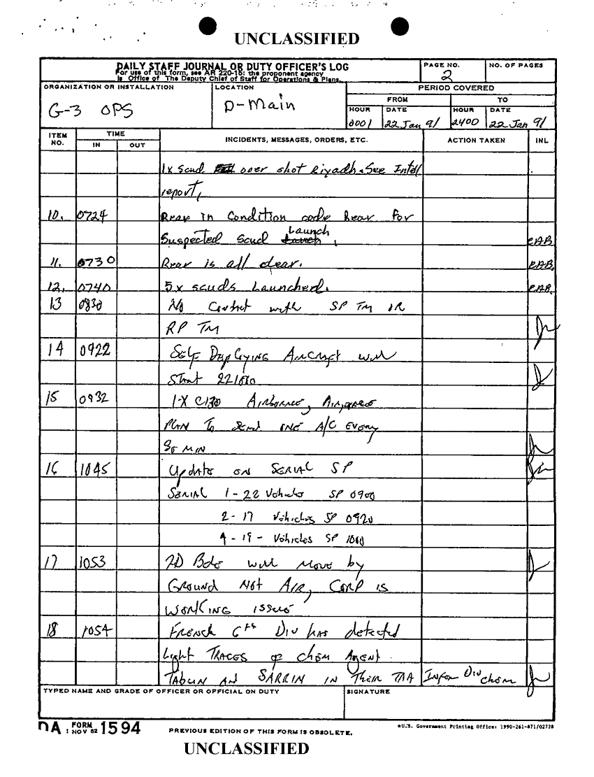
Document 7 f:/Week-48/BX001610/DS-S G3 OPS D MAIN DUTY LOG/daily staff journal 22 jan 91:03069709500928
Control Fields 17
File Room = sep96_declassified
File Cabinet = Week-48
Box ID = BX001610
Unit = 101ST ID
Parent Organization = XVIII CORPS
Folder Title = DS-S G3 OPS D MAIN DUTY LOG
Folder Seq # = 124
Subject = DAILY STAFF JOURNAL 22 JAN 91
Document Seq # = 102
Document Date =
Scan Date =
Queued for Declassification = 01-JAN-1980
Short Term Referral = 01-JAN-1980
Long Term Referral = 01-JAN-1980
Permanent Referral = 01-JAN-1980
Non-Health Related Document = 01-JAN-1980
Declassified = 06-MAR-1997