Document Page: First | Prev | Next | All | OCR | This Release | Search

File: 970107_jul96_decls20_0016.gif
Page: 0016
Total Pages: 22


Document Page: First | Prev | Next | All | OCR | This Release | Search


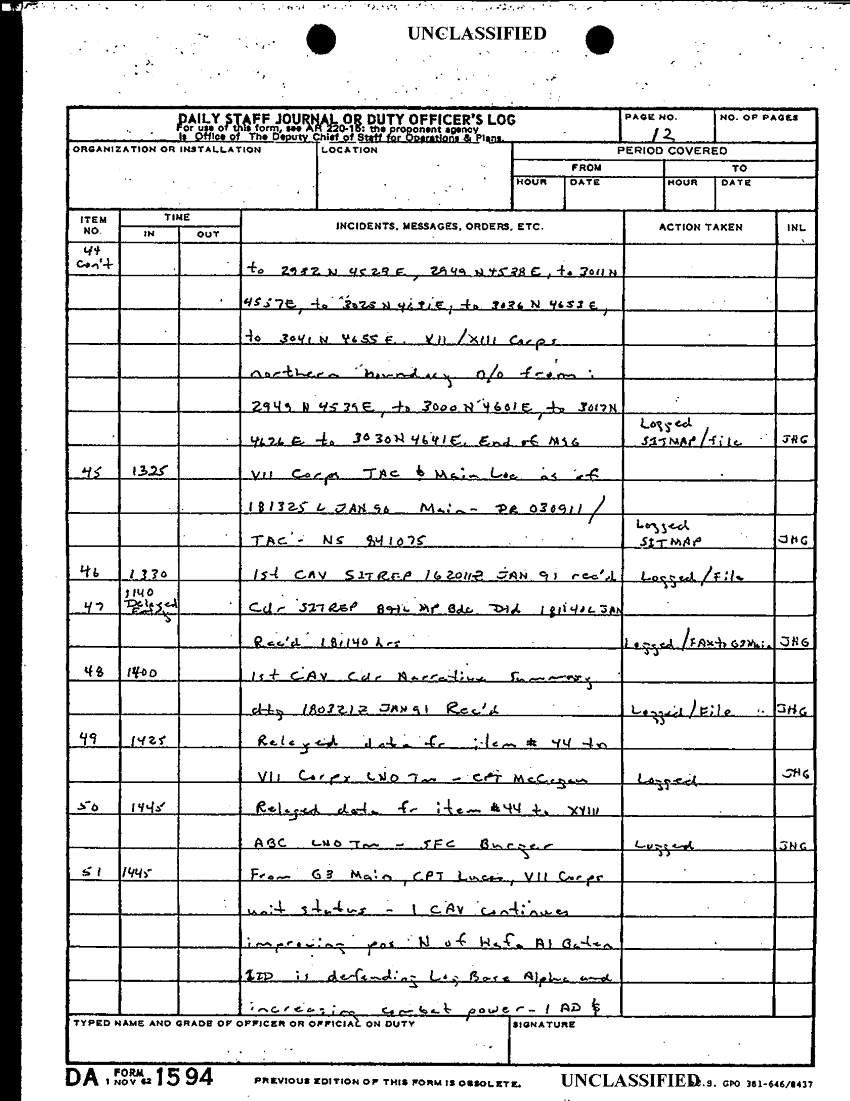
Document 22 f:/Week-29/BX000407/TOC LOGS - LUCKY TAC JOURNALS 17-24 JAN 91 PART 1/daily staff journal lucky tac g3 18 jan 91:010297184324145
Control Fields 17
File Room = jul96_declassified
File Cabinet = Week-29
Box ID = BX000407
Unit = ARCENT
Parent Organization = CENTCOM
Folder Title = TOC LOGS - LUCKY TAC JOURNALS 17-24 JAN 91 PART 1
Folder Seq # = 35
Subject = DAILY STAFF JOURNAL LUCKY TAC G3 18 JAN 91
Document Seq # = 26
Document Date =
Scan Date =
Queued for Declassification = 01-JAN-1980
Short Term Referral = 01-JAN-1980
Long Term Referral = 01-JAN-1980
Permanent Referral = 01-JAN-1980
Non-Health Related Document = 01-JAN-1980
Declassified = 02-JAN-1997