Document Page: First | Prev | Next | All | OCR | This Release | Search

File: 092396_jun96_decls1_0011.gif
Page: 0011
Total Pages: 21


Document Page: First | Prev | Next | All | OCR | This Release | Search


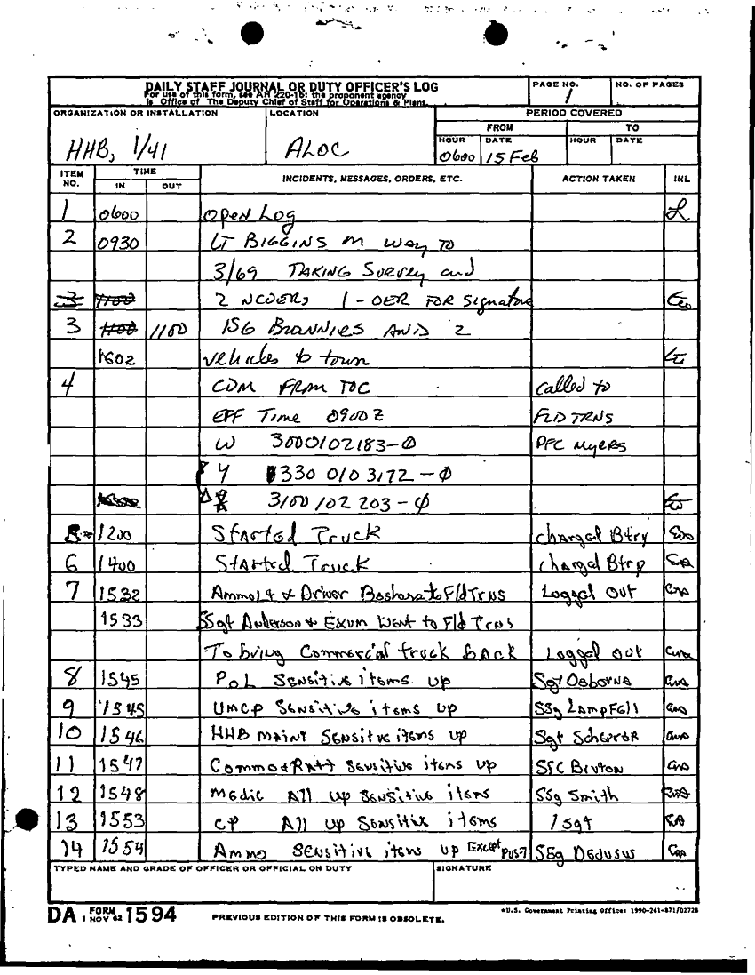
Document 21 f:/Week-22/BX001431/DAILY STAFF JOURNALS - 24TH INF - JAN-FEB 91/daily staff journal hhb 1 41 a loc:09069614062522
Control Fields 17
File Room = jun96_declassified
File Cabinet = Week-22
Box ID = BX001431
Unit = 24TH ID
Parent Organization = XVIII CORPS
Folder Title = DAILY STAFF JOURNALS - 24TH INF - JAN-FEB 91
Folder Seq # = 333
Subject = DAILY STAFF JOURNAL HHB 1 41 A LOC
Document Seq # = 22
Document Date =
Scan Date = 11-JUN-1996
Queued for Declassification = 01-JAN-1980
Short Term Referral = 01-JAN-1980
Long Term Referral = 01-JAN-1980
Permanent Referral = 01-JAN-1980
Non-Health Related Document = 01-JAN-1980
Declassified = 06-SEP-1996