Document Page: First | Prev | Next | All | OCR | This Release | Search

File: 073096_jul_decls11_0011.gif
Page: 0011
Total Pages: 21


Document Page: First | Prev | Next | All | OCR | This Release | Search


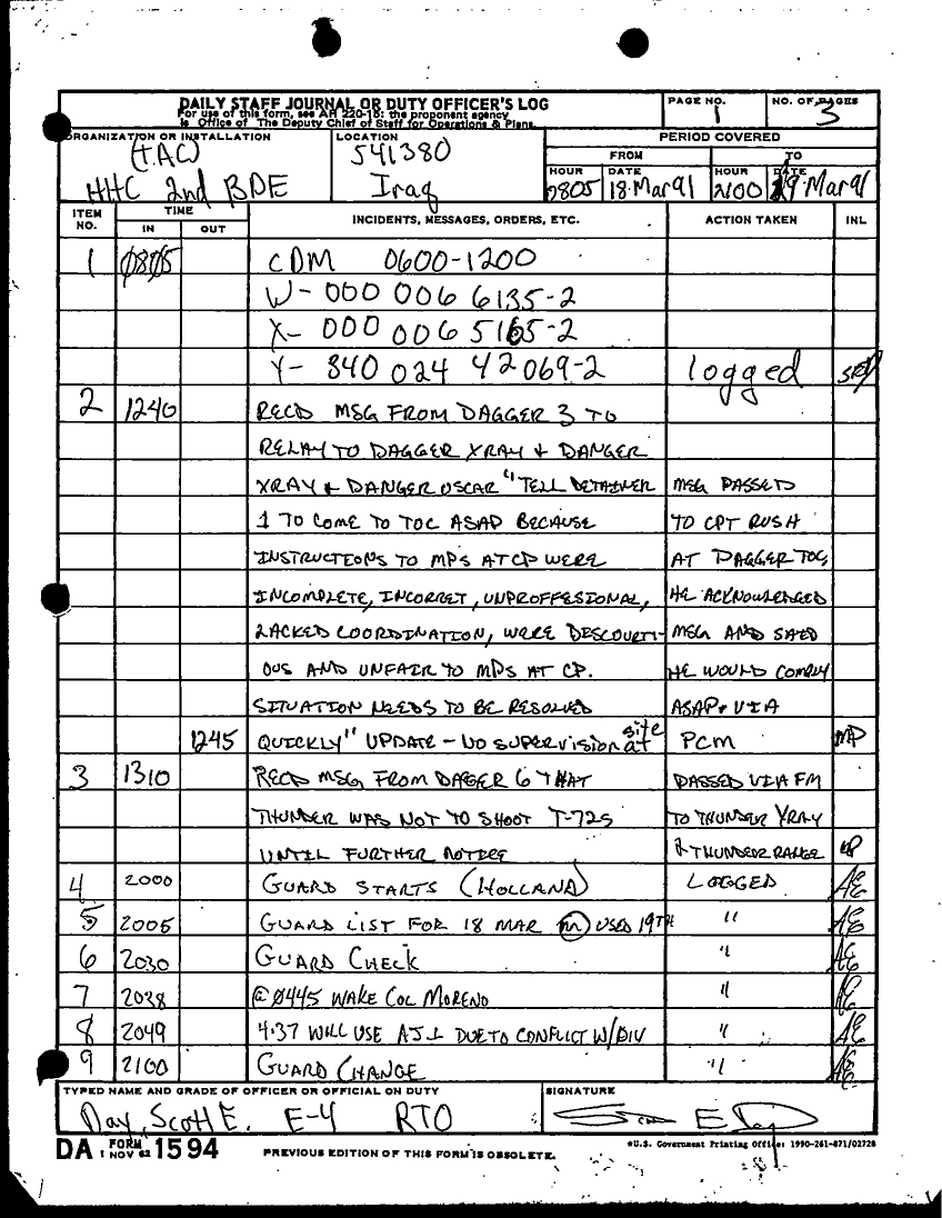
Document 21 f:/Week-26/BX001016/DAILY STAFF JOURNALS PORTS FOLDER NUMBER 2/daily staff journal or duty officers log:07269614230326
Control Fields 17
File Room = jul96_declassified
File Cabinet = Week-26
Box ID = BX001016
Unit = 1ST ID
Parent Organization = VII CORPS
Folder Title = DAILY STAFF JOURNALS PORTS FOLDER NUMBER 2
Folder Seq # = 218
Subject = DAILY STAFF JOURNAL OR DUTY OFFICERS LOG
Document Seq # = 26
Document Date =
Scan Date = 03-JUL-1996
Queued for Declassification = 01-JAN-1980
Short Term Referral = 01-JAN-1980
Long Term Referral = 01-JAN-1980
Permanent Referral = 01-JAN-1980
Non-Health Related Document = 01-JAN-1980
Declassified = 26-JUL-1996