Document Page: First | Prev | Next | All | OCR | This Release | Search

File: 070996_jun_decls7_0004.gif
Page: 0004
Total Pages: 59


Document Page: First | Prev | Next | All | OCR | This Release | Search


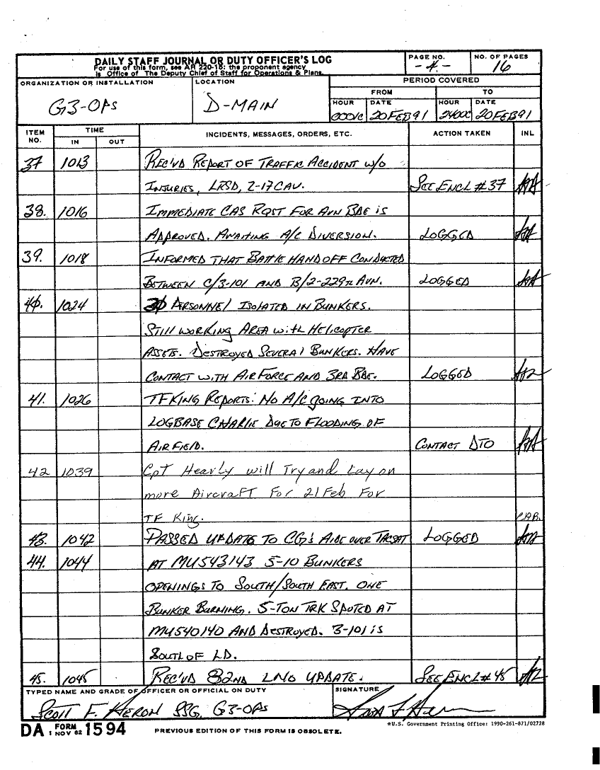
Document 59 f:/Week-22/BX001602/DUTY LOGS G3 MAIN 19-22 FEB 91/daily staff journal 20 feb 91:07059613421614
Control Fields 17
File Room = jun96_declassified
File Cabinet = Week-22
Box ID = BX001602
Unit = 101ST ID
Parent Organization = XVIII CORPS
Folder Title = DUTY LOGS G3 MAIN 19-22 FEB 91
Folder Seq # = 12
Subject = DAILY STAFF JOURNAL 20 FEB 91
Document Seq # = 14
Document Date =
Scan Date =
Queued for Declassification = 01-JAN-1980
Short Term Referral = 01-JAN-1980
Long Term Referral = 01-JAN-1980
Permanent Referral = 01-JAN-1980
Non-Health Related Document = 01-JAN-1980
Declassified = 05-JUL-1996