Document Page: First | Prev | Next | All | OCR | This Release | Search

File: 042496_apr_decls6_0004.gif
Page: 0004
Total Pages: 47


Document Page: First | Prev | Next | All | OCR | This Release | Search


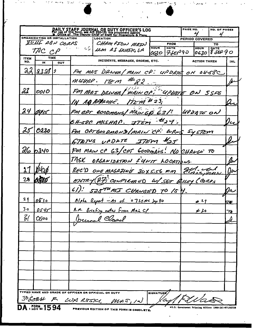
Document 47 f:/Week-14/BX000007/DUTY LOG G3 TAC CP 7 SEP 90/daily staff journal or duty officers log 7 sep t:04179616012077
Control Fields 17
File Room = apr96_declassified
File Cabinet = Week-14
Box ID = BX000007
Unit = XVIII CORPS
Parent Organization = ARCENT
Folder Title = DUTY LOG G3 TAC CP 7 SEP 90
Folder Seq # = 58
Subject = DAILY STAFF JOURNAL OR DUTY OFFICERS LOG 7 SEP TO 8 SEP 90
Document Seq # = 2
Document Date = 01-JAN-1980
Scan Date = 12-APR-1996
Queued for Declassification = 01-JAN-1980
Short Term Referral = 01-JAN-1980
Long Term Referral = 01-JAN-1980
Permanent Referral = 01-JAN-1980
Non-Health Related Document = 01-JAN-1980
Declassified = 17-APR-1996