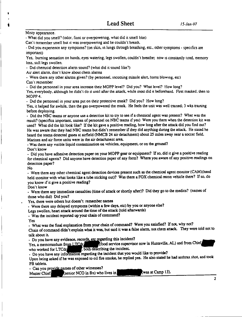
Lead Sheet 1099


| First Page | Prev Page | Next Page | Back to Text |